嗨! 您好,欢迎来到罗恩试剂!
登录
注册
找产品
研易宝化学百科
搜索
结构式搜索
全部分类
化学
分析科学
生命科学
色谱耗材
材料科学
有机砌块
卤代烃
胺
苯酚
酮
酰卤
羧酸
醛
硝基和亚硝基化合物
酯
肼
XC杏彩体育:磺胺类药物/亚磺酰胺
有机磷/膦配体
胺盐
XC杏彩体育:叠氮/偶氮/重氮化合物
砜/亚砜类
异氰酸酯
醇
单硫醚/硫醚
硒化合物
氨基醇
硫醇类/巯基化合物
烯烃
芳烃
砷化合物
氰化物/腈
腙
肟
醚
缩醛/缩酮/原酸酯
磺酸/亚磺酸盐
羧酸酐
脲
酰胺/酰胺化合物
胍
硫脲
磺酰卤化物
硫氰酸盐/异硫氰酸盐
炔烃
羧酸盐
烷烃
环氧化物
酰肼
硫代羰基化合物
亚胺/脒/二酰亚胺
特殊合成
合成
氟合成
离子液体
化学生物学
聚乙二醇化修饰
化学连接
氨基酸衍生物
寡核苷酸合成
固相多肽合成
XC杏彩体育:非天然氨基酸衍生物
多肽合成
多肽耦合
氨基保护
碳水化合物合成
有机金属试剂
有机锂
硼酸及其衍生物
有机锗
有机硅
有机铅
有机锌试剂
格氏试剂
有机汞
有机铝
有机铜
有机锡
合成试剂
螯合/络合化合物
氧化
C-X键形成
无机碱
脱水试剂
路易斯酸
有机酸
无机酸
特种气体
无机盐
有机碱
相转移催化剂
耦合
还原
保护和衍生
键形成
XC杏彩体育:C-X键形成(无卤素)
XC杏彩体育:催化和无机化学
钛
镓
钽
铪
钬
钡
锇
镉
钕
砷
铂
锡
锶
钪
铒
铟
铁
铍
镧
锑
锗
钇
铱
钯
铷
铼
硅
碲
锆
铌
无机磷
铥
钴
镍
钒
N-杂环化合物
铅
铜
卟啉
镝
铕
镁
钠
锰
镱
钙
铋
铽
铝
硼
金催化
铬
钌
铊
硒
镥
锂
钼
汞
钾
钆
锌
铑
其他配体
钨
镨
银
金
铈
铯
钐
XC杏彩体育:杂环砌块
吡嗪
呋喃
哒嗪
咔唑
哌啶酮
奎宁
喹恶啉
吲唑
吖啶
其它杂环
四氮唑
吡啶
苯并恶嗪
喹唑啉
噻吩
噻二唑
苯并二氧六环
噻嗪
吡喃
嘧啶
吲哚
吗啉
吡唑
吡咯
咪唑
恶二唑
噻唑
恶唑
三嗪
嘌呤
哌嗪
喹啉
异恶唑
异喹啉
三唑
香豆素
哌啶
XC杏彩体育:不对称合成
手性催化剂,配体和试剂
手性砌块
拆分试剂
手性助剂
稳定性同位素
农业
气体
生物核磁共振
糖
脂肪酸
氨基酸(同位素)
类固醇和激素
标记生物活性物
乙酰辅酶A衍生物
XC杏彩体育:核磁共振溶剂和试剂
保护性氨基酸
香精香料
天然认证产品
精油
合成香料
气相色谱
吸附剂
XC杏彩体育:分析试剂
滴定
特定用途试剂
XC杏彩体育:色谱溶剂/CE试剂
指示剂溶液
杀菌剂和防腐剂
常用分析试剂
衍生化试剂
光谱
树脂与LC分离介质
分子筛,活性碳,助滤剂
硅胶
分析标准品
农残、兽药及化肥类
农业和环境标准品
有机标准溶液
酚类化合物标准品
临床标准品
物理性质
熔点标准品
XC杏彩体育:多环芳烃(PAHs)
化妆品标准品
XC杏彩体育:核材料和放射性标准物质
食品和饮料标准品
XC杏彩体育:无机单元素标准溶液
生命科学标准品
气相色谱标准品(色标)
挥发性有机化合物(VOCs)
仪器检定/校准
容量分析滴定液
认证用标准物质
空气检测标准品
中药标准品
高分子标准品
法医和兽医标准品
滴定标准品
具体方法
化学类
XC杏彩体育:离子传感器材料
离子传感器用塑化剂
XC杏彩体育:高压液相色谱
HPLC溶剂
溶剂
四氢呋喃
正己烷
醋酸乙酯
正庚烷
甲醇
丙酮
乙醇
异丙醇
二甲基亚砜
二甲基甲酰胺
氯仿
乙腈
二氯甲烷
苯
生物活性小分子
其他
DNA损伤
干细胞与Wnt信号
神经信号
XC杏彩体育:G蛋白偶联受体&G蛋白
血管生成
代谢
NF-kB
PI3K/Akt/mTOR
蛋白酪氨酸激酶
表观遗传学
细胞凋亡
JAK/STAT
蛋白酶
细胞周期
膜转运/离子通道
内分泌与激素
MAPK
微生物Microbiology
XC杏彩体育:TGF-beta/Smad
细胞骨架信号
癌症研究
化学预防物质
致癌物质
抗肿瘤剂
血管再生
肿瘤生长调节
生化试剂
多肽
酶抑制剂
生物缓冲液
XC杏彩体育:荧光探针,标记,颗粒和染色
酶底物
密度梯度
蛋白质和衍生物
酶与辅酶
碳水化合物
XC杏彩体育:核苷,核苷酸,寡核苷酸
抗生素
赋形剂,仅用于研究
螯合剂
变性剂
氨基酸
脂类
发光化合物
去垢剂
微粒
细胞生物学
细胞信号和神经生物学
XC杏彩体育:植物生物技术
植物组织培养
XC杏彩体育:营养学研究
维生素
植物生化提取物
XC杏彩体育:代谢组学
代谢途径
XC杏彩体育:分子生物学
核酸电泳
分子生物学试剂
细胞培养
试剂和补充物
XC杏彩体育:抗体
补充产品
碳水化合物(糖类)
单糖
多糖
XC杏彩体育:微生物学
培养基成分
蛋白组学
翻译后修饰
蛋白质结构分析
质谱
蛋白质定量
蛋白电泳
血液学和组织学
染色剂和染料
生物预装柱
填料(或介质)
替代能源
电解质
储氢材料
金属和陶瓷科学
氧化物
硫属化合物
陶瓷
盐
合金
晶体级无机物
金属
碳基材料
生物材料
生物相容陶瓷
交联剂
微米/纳米电子材料
电子材料
电子化学品
气相沉积前驱体
自组装和接触印刷
溶液沉积前驱体
XC杏彩体育:有机和印刷电子学
基质和电极材料
光子和光学材料
合成工具和试剂
升华材料
液晶
OFET和OPV材料
XC杏彩体育:OLED和PLED材料
印刷电子
高分子科学
XC杏彩体育:聚乙二醇和聚氧化乙烯
塑料添加剂
导电聚合物和单体
硅酮
疏水性高分子
亲水性高分子
工程塑料
天然高分子
单体
聚乙二醇修饰剂
聚合引发剂
XC杏彩体育:纳米材料
纳米粒子:金属和金属陶瓷
XC杏彩体育:纳米粉末和粒子分散液
表面功能化纳米粒子
纳米粒子:氧化物、氮化物和其他
XC杏彩体育:倍半硅氧烷:POSS纳米杂化材料
树状大分子
碳纳米材料
XC杏彩体育:光学/光谱
显微镜
XC杏彩体育
走进罗恩
导购帮助
经销商ERP服务
当前位置:
XC杏彩体育
镍
此分类下共有 28 条信息
15629-92-2
1,3-双(二苯基膦丙烷)二氯化镍
14264-16-5
双(三苯基膦)氯化镍(Ⅱ)
14647-23-5
1,2-双(二苯基膦)乙烷氯化镍
67292-34-6
(1,1''-双(二苯基膦)二茂铁)二氯化镍
XC杏彩体育:1295-35-8
双(1,5-环辛二烯)镍(0)
19999-87-2
二氯化双(三环己基膦)镍(II)
1271-28-9
双(环戊二烯)镍(II)
14949-69-0
双(六氟乙基丙酮)合镍(II),水合
XC杏彩体育:3264-82-2
乙酰丙酮镍
XC杏彩体育:60871-84-3
三氟甲磺酸镍(II)
XC杏彩体育:7440-02-0
雷尼镍催化剂
7785-20-8
硫酸镍铵,六水合物
XC杏彩体育:7440-48-4
钴片
14126-37-5
二溴双(三苯基磷)化镍
XC杏彩体育:12168-54-6
纳米铁酸镍
10101-97-0
硫酸镍(II),六水合物
124594-15-6
氨基磺酸镍
XC杏彩体育:13462-90-3
碘化镍
12054-48-7
氢氧化镍
10028-18-9
氟化镍
12607-70-4
碱式碳酸镍
6018-94-6
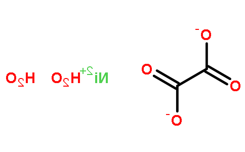
草酸镍(II) 二水合物
XC杏彩体育:13462-88-9
溴化镍
207569-11-7
溴化镍(II)水合物
上一页
1
2
下一页
调用中...
×
用户登录
邮箱:
密码:
提交
XC杏彩体育:没有账户?点此注册
忘记密码?